SIMSLab
SIMS Lab
PolyU Department of Building and Real Estate
Contact Us
Toggle navigation
Sewer Failure
Publications
Gallery
Members
Vacancies
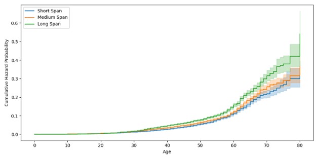
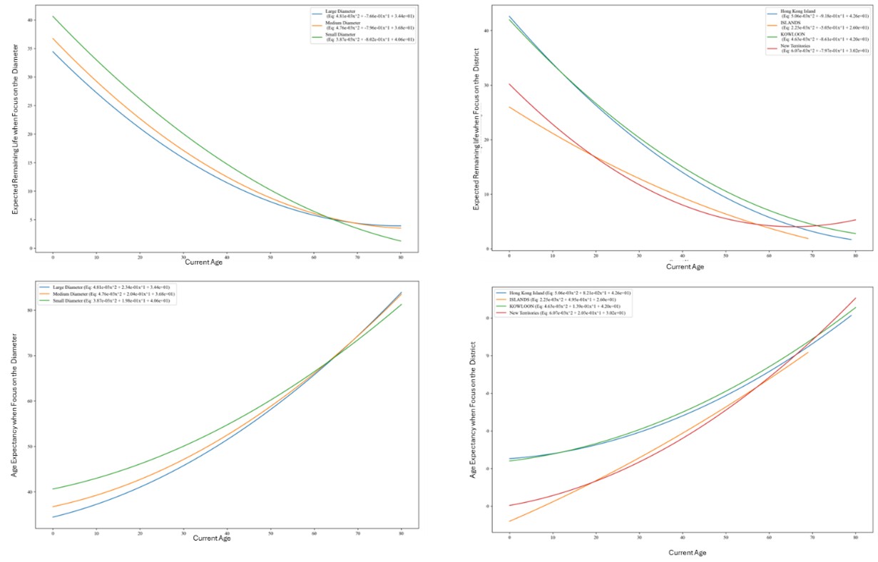
A Novel Modelling Approach for Predicting Sewer Failure
Advancing sewer infrastructure resilience through data-driven predictive analytics and AI.
Gallery
SIMSLab